展览中心
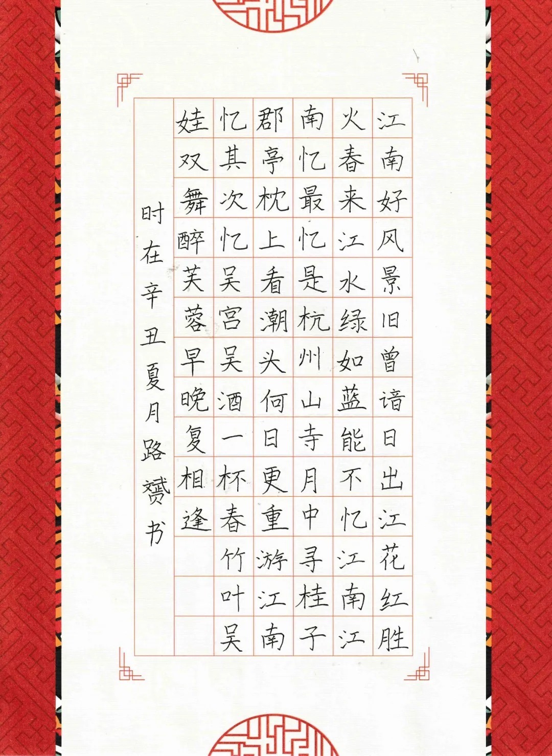
路赟(河南)“书法之声” 第二届全国硬笔书法大赛作品选登—学生组NO.346

路赟 11岁,指导老师:赵克思
作品尺寸:21cm×28.5cm

推动硬笔书法事业和谐健康发展,激发硬笔书法爱好者的创作热情,打造高效、品牌、检验、展示、服务为一体的知名硬坛赛事,传承中华传统文化,特举办“书法之声”第二届全国硬笔书法大赛。现将征稿有关事宜公布如下:
一、主办单位:
书法之声全国硬笔书法大赛组委会
东莞市牧心斋文化艺术传播有限公司
支持单位:
清雅社
艺坛微拍
人民书画名家网
重庆英伯美素艺术中心
协办单位:
当代书画家百科
龙生堂文化传媒有限公司
良缘家居连锁
媒体支持:
书画之声、网易新闻、书画展赛、搜狐新闻、中国当代书画家网、大书法微报、书法精英、书画征稿服务员
二、组织委员会
主任:欧阳高政
副主任:陶浪 葛建刚 张培祥
秘书长:傅佩忠 王远 吕江涛
委员:林元弼 李文清 甘耀阳 植美强 高进 华裕萍 车勇 刘良谋 赖敬槐 陈焜 张净 林勇 周富贵 杨柳青 张京 吕珺玲 冯文涛 张曌 高杨 罗智勇 曾德成 黄银华 安鹏飞 蔚陆军
三、评审委员会
由主办单位邀请书法名家组成评审委员会。
四、征稿对象
海内外硬笔书法家、硬笔书法爱好者均可参赛。大赛只征集硬笔书法作品,不收毛笔书法作品。成人组(18周岁以上)、学生组(18周岁以下),分组进行评选。
其中学生组评选会根据年龄进行照顾。
五、征稿要求
(一)成人组作品要求:工具、书体、形式不限。书写健康向上的古今诗词、联、赋、格言,提倡自作诗词。(篆书、草书作品须另附释文)。投稿件数不超2件,尺幅统一A4(21cm×29.7cm) ,超限不予评奖。杜绝代笔,凡临习作品,同等条件下将降低获奖等级,评委会有权对其进行视频抽查。
(二)学生组作品要求:工具、书体、形式不限。书写健康向上的古今诗词、联、赋、格言 (篆书、草书作品须另附释文)。每人限投一件,尺幅统一A4(21cm×29.7cm),可临习古代经典法帖。杜绝代笔,对有异议的作品,评委会有权对其进行视频抽查。
(三)篆刻作品要求:内容健康向上,姓名章、闲章、肖形印等均可。作品六方以上并附边款,制成印屏投寄。
(四)请在作品背面右下角用铅笔正楷注明作者真实姓名、性别、出生年月、通讯地址、邮编、联系电话、辅导老师姓名(学生组)。集体组稿单位请附参赛作者名单及相关信息,请在信封右上方注明“书法之声成人组”“书法之声学生组”“书法之声篆刻”等字样。
(五)参赛投稿者需交参评费30元,海外参赛者均为30美元。未交参评费的作品不列入评选。汇款记录请用A4纸打印转账截图,连同作品一起寄出。
六、作品评审
1、大赛评审委员会制定评审细则,评审工作流程和评委守则,公平、公正地进行评审。
2、文字审读:评审中,加强对书写内容、文字正误、篆法、草法的审查。提倡文化内涵,注重文字规范。凡出现错字、漏字的,取消获奖资格。自作诗文优秀者,在同等艺术水准情况下,优先作为获奖的条件。
3、凡参赛者一律杜绝代笔,非本人创作作品或临写古、今已出版的字帖及作品参赛,一经查实,取消获奖资格。
七、奖项设置
1、成人组
●特等奖5名,奖金1000元/人;颁发精装证书及大赛作品集一册;
●金 奖10名,奖金800元/人;颁发精装证书及大赛作品集一册;
●银 奖20名,奖金500元/人;颁发精装证书及大赛作品集一册;
●铜 奖30名,奖金200元/人;颁发精装证书及大赛作品集一册;
●优秀奖200名,颁发精装证书及大赛作品集一册;
●入 展300名,颁发精装证书。
●特等奖作者将列为书法之声大赛评委库成员,荣获优秀奖以上作品将编入《作品集》,入集作者赠送《作品集》一册。
2、学生组
●特等奖100名,奖金100元/人, 作品入编作品集,颁发证书、奖杯及大赛《作品集》一册。
●金 奖200名,奖金50元/人,颁发证书及精美金奖奖牌一枚,奖励精美作品纸一套。
●银 奖500名,颁发证书及精美银奖奖牌一枚,奖励精美作品纸一套。
●铜 奖1000名,颁发证书及精美铜奖奖牌一枚,奖励精美作品纸一套。
●优秀奖按来稿总体水平确定数量,颁发证书。
3、优秀组织奖:
●凡组织30名以上的老师,颁发优秀指导老师证书。
●凡组织50名以上的老师,颁发优秀组织奖证书+全国百强名校牌匾。
●凡组织100人以上的老师,颁发优秀组织奖证书+全国十佳名校牌匾+大赛作品集两册。
●根据各组织参赛单位组织人数评选出100名优秀指导教师并授予“当代硬坛百佳名师”荣誉称号,颁发荣誉证书、奖杯,作品编入大赛作品集。
八、征稿日期
自发布征稿启事之日起,截至2021年6月15日,以当地邮戳为准,拒收到付件。
九、作品投寄及汇款方式
1、请用挂号、邮局EMS或快递形式投寄作品,以确保作品安全准时到达。
2、收稿地址:广东省东莞市东城街道大塘头创客商务中心A07(书法之声组委会)欧阳高政(收)电话:18566944489,13266097669 。
3、汇款方式:
微信转账:组委会官方帐号:oygz888888,ab13469207268。
银行转账:中国银行汇款账号:6216607000031793618
开户名:欧阳高政(银行转账时请务必注明参赛人姓名)
十、其它事项
1、获奖名单将在书法之声官微公众号等相关媒体公示一周。公示期间若有异议,一经核实,将取消获奖资格。
2、对代笔和抄袭的举报长期有效。举报电话:18566944489。
3、所有来稿必须符合本启事要求。
4、大赛组委会拥有对本启事的最终解释权。
5、凡投稿者视为认同并遵守本启事各项规定。赛事信息可登录书法之声官微、书画之声微信公众号人民书画名家网官网查看。
6、公示期满后,即刻发放奖金,获奖作品集以及证书等邮寄工作在一个月内完成。
书法之声全国硬笔书法大赛组委会
东莞市牧心斋文化艺术传播有限公司
2021年1月1日
附件:



参赛参考书籍

